Dimensionamiento de discos de ruptura
Asignación de sobrepresión

Al dimensionar los dispositivos de alivio de presión, el Código ASME define la presión máxima que se puede acumular en el recipiente a presión mientras el dispositivo está aliviando. Esta presión varía dependiendo de la aplicación del dispositivo. La siguiente tabla define los distintos márgenes de sobrepresión.

Metodologías de dimensionamiento de discos de ruptura
A continuación se describen tres metodologías básicas para dimensionar los dispositivos de disco de ruptura. Estos métodos asumen un flujo de fluido no reactivo de una sola fase. Los recursos como API RP520 Parte 1, el Manual del proyecto DIERS y las Pautas de CCPS para alivio de presión y sistemas de manejo de efluentes brindan otros métodos para condiciones bifásicas, intermitentes, reactivas y de estado no estacionario.
- Método del coeficiente de descarga (KD): El KD es el coeficiente de descarga que se aplica al caudal teórico para llegar a un caudal nominal para sistemas simples.
- Método de resistencia al flujo (KR): El KR representa la pérdida de carga por velocidad debida al dispositivo de disco de ruptura. Esta pérdida de carga se incluye en los cálculos de pérdida general del sistema para determinar el tamaño del sistema de alivio.
- Método de capacidad combinada: Cuando se instala un dispositivo de disco de ruptura en combinación con una válvula de alivio de presión (PRV), la capacidad de la válvula se reduce en un valor predeterminado de 0.9 o un valor probado para la combinación de disco/válvula.
Método del coeficiente de descarga (KD)
Utilice este método para sistemas simples en los que se cumplen las siguientes condiciones (regla de 8 y 5). Este método tiene en cuenta los efectos de entrada al recipiente, 8 diámetros de tubería de entrada, 5 diámetros de tubería de descarga y los efectos de la descarga a la atmósfera.

Dimensionamiento de gas/vapor
Determinación de caudal crítico frente a subcrítico según API RP520:


Dimensionamiento para vapor
Cálculos según ASME Sección VIII (supone flujo crítico)


Dimensionamiento para líquidos
Cálculos según ASME Sección VIII

Para el dimensionamiento de líquidos viscosos, primero calcule AR usando KV de 1.0. Aplique el área A del siguiente disco de mayor tamaño a los cálculos del número de Reynolds para llegar a KV. Luego vuelva a calcular el área requerida AV usando el KV derivado
Método de resistencia al flujo (KR):
Utilice este método cuando no se aplique la Regla 8 y 5 y el disco de ruptura no esté instalado en combinación con una válvula de alivio de presión. Este tipo de cálculo es responsabilidad del diseñador del sistema. (DisCalcTM no realiza este tipo de cálculo).
Características del Método de Resistencia al Flujo
- El dimensionamiento se realiza sobre la base del sistema de alivio, no por la capacidad de los componentes individuales
- El disco de ruptura se trata como otro componente en el sistema de alivio
- Cada dispositivo o familia de dispositivos tiene un valor de resistencia sin unidades (KR) que representa la resistencia esperada al flujo que es independiente del fluido que fluye
- La capacidad de alivio del sistema debe multiplicarse por un factor de 0.90
Tipos de KR
Debido a que muchos discos de ruptura tienen diferentes características de apertura dependiendo de si se abren con un vapor comprimido o con un líquido incompresible, existen valores KR certificados indicados por los medios de servicio correspondientes. Los valores de KR para diferentes medios son el resultado de las diferencias en cómo se abre el disco de ruptura con diferentes medios y métodos de prueba que han sido estandarizados en ASME PTC25.
- Servicio de aire o gas – KRG: Use KRG cuando el medio sea gas o vapor, o cuando el medio sea líquido pero haya un volumen significativo de vapor directamente en contacto con el disco en el momento de la ruptura
- Servicio de líquidos – KRL: Use KRL cuando el medio sea líquido y el líquido esté contra el disco en el momento de la ruptura
-
Servicio de aire o gas y líquido – KRGL: KRGL se puede usar para cualquier condición de servicio
Los siguientes ejemplos ilustrarán cómo se utilizan los valores KR para establecer la capacidad de flujo de un sistema de tuberías de alivio de presión.
Dimensionamiento para vapor
El siguiente ejemplo, vea la Figura 1, asume que k = cp/cv = 1.4 lo que resulta en un cálculo conservador. El ejemplo que se muestra se basa en los métodos Crane TP-410. También asume una condición de alivio de estado estable donde el volumen del recipiente es grande en relación con la capacidad de alivio.
Información dada:

- Recipiente a presión MAWP = 1000 psig
- Alivio de presión según lo permitido por ASME Sección VIII división 1 = 110 % x MAWP = 1114,7 psia = P’1Contrapresión (presión de salida) = 14,7 psia
- Fluido de trabajo – aire (k = cp/cv = 1,4)
- Temperatura del aire en la ruptura del disco = 500°F = 960R = T1
- Caudal máximo en el recipiente = 20 000 SCFM
- Disco de ruptura – Fike 3” SRX-GI. KRG = 0.99
Determine el factor de resistencia total del sistema de tuberías:

La Ecuación de Darcy define la descarga de fluidos comprimibles a través de válvulas, accesorios y tuberías. Dado que la tasa de flujo en el recipiente de ejemplo se define en SCFM, se utiliza la siguiente forma de la ecuación de Darcy:
Ecuación de crane 3-20

Para determinar Y, primero se debe determinar si el flujo será sónico o subsónico. Esto se determina comparando el DP/P’1 real con el DP/P’1 límite para el flujo sónico. La Tabla Crane A-22 muestra los factores limitantes para k=1.4 para el flujo sónico en el valor conocido de KT.
Si (DP/P’1)sónico < (DP/P’1)real, entonces el flujo será sónico.

Por ejemplo:

De la tabla A-22 at KT=7.33

Dado que (DP/P’1)sonic = 0,754, entonces DP = 0,754 * P’1 = 0,754 * 1114,7 = 840,5 psig
El cálculo de la capacidad del sistema se completa sustituyendo los valores conocidos en Crane 410 Ecuación 3-20.

El Código de recipientes a presión de ASME, Sección VIII, División 1, párrafo UG-127(a)(2), también requiere que la capacidad del sistema calculada utilizando el método de resistencia al flujo también se multiplique por un factor de 0.90 o menos para tener en cuenta incertidumbres inherentes a este método.

Por ende, la capacidad del sistema es mayor que la capacidad de proceso requerida (20,000 SCFM)
Dimensionamiento para líquido
Para este ejemplo, se asume la Figura 2, el agua se considerará el medio de flujo. El ejemplo que se muestra se basa en los métodos Crane TP-410. También asume una condición de alivio de estado estable donde el volumen del recipiente es grande en relación con la capacidad de alivio.
Información dada:

- Recipiente a presión MAWP = 500 psig
- Aliviar la presión según lo permitido por ASME Sección VIII Div. 1 = 110 % x MAWP = 550 psig = P1
- Contrapresión (presión de salida) = 1 psig = P2
- Fluido de trabajo: agua
- Temperatura = 70°F
- Caudal máximo en el recipiente = 50 ft3/min
- Disco de ruptura – Fike 2” SRL-GI → KRGL = 0,59
Desde Crane 410:
“El Teorema de Bernoulli es un medio para expresar la aplicación de la ley de conservación de la energía al flujo de fluidos en un conducto (tubería). La energía total en cualquier punto particular, por encima de un plano de referencia horizontal arbitrario, es igual a la suma de la cabeza de elevación (Z), la cabeza de presión (P), la cabeza de velocidad (V).
En aplicaciones reales, existen pérdidas de energía en los sistemas de tuberías entre los estados (o ubicación) 1 y 2. Esas pérdidas se contabilizan en el término hL, que son predominantemente pérdidas de carga por fricción. El balance de energía se expresa entonces:
Ecuación de Crane 1-3

Como en el ejemplo anterior, las pérdidas de carga por fricción en las tuberías y las pérdidas de carga por accesorios son proporcionales a la suma de las resistencias al flujo:
![]()
Dado que la pérdida de carga real depende de la velocidad,

Los coeficientes de pérdida por fricción y los coeficientes de pérdida por ajuste para el ejemplo son los siguientes:

Otros datos conocidos:
- Vrecipiente = 0 pies/seg
- Zbuque = 0 pies
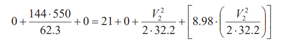
- Zrecipiente = 1 pie + 20 pies = 21 pies = cambio de elevación de la tubería
- Pexit = 0 pies/seg
- ȡ1 = ȡ2 = 62.3 lb/ft3 para agua a temperatura ambiente
Sustituyendo valores en la Ecuación 1-3,

Resolviendo para V2 (velocidad de salida),
V2 = 89.82 ft/sec
El factor de fricción que se usó anteriormente en los cálculos para las pérdidas por fricción de las tuberías asumió que el flujo en las tuberías era completamente turbulento. El valor del factor de fricción está relacionado con el Número de Reynolds (Re) del flujo resultante (Ref: Crane 410 pg 1-1). Para Re< 2000, el flujo es laminar y el factor de fricción es una función del número de Reynolds únicamente. Para Re >4000, el flujo es totalmente turbulento y el factor de fricción también es una función del carácter de la pared de la tubería (rugosidad relativa).
El factor de fricción utilizado anteriormente debe ser verificado. Primero calcula el número de Reynolds:

Dado que el número de Reynolds es >4000, el flujo es turbulento y el factor de fricción es ahora una función de la rugosidad relativa de la tubería. De Crane 410 Figura A-23, el factor de fricción, f, para tubería de acero comercial de 2” en flujo completamente turbulento es 0.019. Esto verifica la suposición original para el factor de fricción.
Ahora que se conoce la velocidad del fluido, se puede calcular el caudal volumétrico.
Q=A*V
Donde:

Obtenemos un flujo requerido de 50 ft3/min